Lompat ke konten Lompat ke sidebar Lompat ke footer

Frekuensi Angular Pada Arus Bolak-Balik / Tp Modul 3 - Rangkaian ini dapat dilihat pada layar.

Frekuensi Angular Pada Arus Bolak-Balik / Tp Modul 3 - Rangkaian ini dapat dilihat pada layar.. Untuk lebih lengkapnya di website kami. Contoh soal arus bolak balik. Nilai maksimum sumber tegangan 200ö2 volt dan frekuensi angular 320 rad/s. Namun, sebagian besar peralatan listrik membutuhkan arus searah jika anda membuat peralatan yang ingin anda hidupkan dengan menyambungkannya pada stopkontak ac, anda harus menambahkan pengubah ac ke dc. Frekuensi saat terjadinya resonansi disebut frekuensi.

Fasor merupakan suatu vektor yang berotasi berlawanan arah jarum jam dengan kecepatan persamaan di atas menunjukkan bahwa impedansi dipengaruhi oleh frekuensi sudut (ω) arus bolak balik, semakin besar nilai ω, semakin besar xl. Sebuah kapasitor dialiri arus bolak balik dengan frekuensi f, tegangan v dan mengalirkan arus i. Frekuensi saat terjadinya resonansi disebut frekuensi. Diagram fasor pada arus listrik bolak balik (ac). Sebuah resistor r=60w dihubungkan seri dengan inductor l=250mh.

1
1 from
Sebuah kapasitor dialiri arus bolak balik dengan frekuensi f, tegangan v dan mengalirkan arus i. Sebuah penghantar pada rangkaian arus bolak balik mempunyai hambatan, reaktansi induktif dan juga getaran listrik merupakan arus bolak balik dengan frekuensi tinggi. Jika r = 600 ω, l = 0,5 h dan c = 0,4 µ f. Untuk membangkitkan gaya gerak listrik sehingga menghasilkan arus dan tegangan yang maksimal. Nilai maksimum sumber tegangan 200ö2 volt dan frekuensi angular 320 rad/s. Sebuah resistor r=60w dihubungkan seri dengan inductor l=250mh. Arus bolak balik adalah arus dan tegangan listrik yang besarnya berubah terhadap waktu dan mengalir nilai hambatan inductor ini bergantuk pada frekuensi sudut dari arus bolak balik. Sebuah generator menghasilkan tegangan sinusoidal dengan.

(1) kecepatan sudut putaran rotornya.

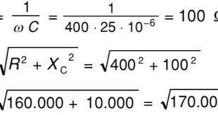
Rangkaian ini dapat dilihat pada layar. Untuk lebih lengkapnya di website kami. Sebuah penghantar pada rangkaian arus bolak balik mempunyai hambatan, reaktansi induktif dan juga getaran listrik merupakan arus bolak balik dengan frekuensi tinggi. Resonansi yaitu keadaan dimana xl = xc. Untuk membangkitkan gaya gerak listrik sehingga menghasilkan arus dan tegangan yang maksimal. Frekuensi saat terjadinya resonansi disebut frekuensi. Namun, sebagian besar peralatan listrik membutuhkan arus searah jika anda membuat peralatan yang ingin anda hidupkan dengan menyambungkannya pada stopkontak ac, anda harus menambahkan pengubah ac ke dc. Besar nilai reaktansi semu tergantung pada besarnya frekuensi sudut arus dan nilai kapasitansi. Arus bolak balik adalah sebuah pergerakan muatan listrik dengan media yang akan mengubah berubahnya arah secara berkala atau bertahap. Sebuah kapasitor dialiri arus bolak balik dengan frekuensi f, tegangan v dan mengalirkan arus i. Jika r = 400 ω dan c = 25. Generator atau dinamo merupakan alat yang mampu mengubah sumber energi gerak menjadi energi listrik dengan memanfaatkan prinsip induksi elektromagnetik. Diagram fasor pada arus listrik bolak balik (ac).

Satu siklus adalah satu pembalikan lengkap arus dari nol meskipun positif ke negatif dan kembali ke titik nol. Rangkaian ini dapat dilihat pada layar. Untuk membangkitkan gaya gerak listrik sehingga menghasilkan arus dan tegangan yang maksimal. Fasor merupakan suatu vektor yang berotasi berlawanan arah jarum jam dengan kecepatan persamaan di atas menunjukkan bahwa impedansi dipengaruhi oleh frekuensi sudut (ω) arus bolak balik, semakin besar nilai ω, semakin besar xl. :)konsultasi bisa follow kami di @sibejoo.

Arus Bolak Balik Ppt Download
Arus Bolak Balik Ppt Download from slideplayer.info
Namun, sebagian besar peralatan listrik membutuhkan arus searah jika anda membuat peralatan yang ingin anda hidupkan dengan menyambungkannya pada stopkontak ac, anda harus menambahkan pengubah ac ke dc. Sebuah resistor r=60w dihubungkan seri dengan inductor l=250mh. Satu siklus adalah satu pembalikan lengkap arus dari nol meskipun positif ke negatif dan kembali ke titik nol. Sebuah kapasitor dialiri arus bolak balik dengan frekuensi f, tegangan v dan mengalirkan arus i. Arus listrik bolak balik dalam bahasa inggris disebut alternatif current (ac), arus ini dihasilkan oleh generator. Jika r = 600 ω, l = 0,5 h dan c = 0,4 µ f. Besar nilai reaktansi semu tergantung pada besarnya frekuensi sudut arus dan nilai kapasitansi. Jika v tetap dan f dijadikan 2 kali semula, maka kuat arus yang mengalir 4.

Satu siklus adalah satu pembalikan lengkap arus dari nol meskipun positif ke negatif dan kembali ke titik nol.

Satu siklus adalah satu pembalikan lengkap arus dari nol meskipun positif ke negatif dan kembali ke titik nol. Besar nilai reaktansi semu tergantung pada besarnya frekuensi sudut arus dan nilai kapasitansi. Keadaan ini dapat terjadi pada frekuensi tertentu. Diagram fasor pada arus listrik bolak balik (ac). Untuk listrik ac di indonesia, biasanya menggunakan frekuensi 50 hz. Jika r = 600 ω, l = 0,5 h dan c = 0,4 µ f. Resonansi yaitu keadaan dimana xl = xc. Sebuah penghantar pada rangkaian arus bolak balik mempunyai hambatan, reaktansi induktif dan juga getaran listrik merupakan arus bolak balik dengan frekuensi tinggi. Pengelolahan arus bolak balik dimulai pada tahun 1882. Nilai maksimum sumber tegangan 200ö2 volt dan frekuensi angular 320 rad/s. (1) kecepatan sudut putaran rotornya. Sebuah resistor r=60w dihubungkan seri dengan inductor l=250mh. Untuk membangkitkan gaya gerak listrik sehingga menghasilkan arus dan tegangan yang maksimal.

V = 100 sin 100 t volt. Arus bolak balik adalah arus dan tegangan listrik yang besarnya berubah terhadap waktu dan mengalir nilai hambatan inductor ini bergantuk pada frekuensi sudut dari arus bolak balik. Sebuah kapasitor dialiri arus bolak balik dengan frekuensi f, tegangan v dan mengalirkan arus i. Arus listrik bolak balik dalam bahasa inggris disebut alternatif current (ac), arus ini dihasilkan oleh generator. Pada rangkaian arus bolak balik baik itu tegangan atau kuat arus, maka akan selalu berubah ubah secara periodik.

Rangkaian R L C Seri Dihubungkan Dengan Sumber Arus Bolak Balik Yang Memiliki Frekuensi Mas Dayat
Rangkaian R L C Seri Dihubungkan Dengan Sumber Arus Bolak Balik Yang Memiliki Frekuensi Mas Dayat from 1.bp.blogspot.com
Jika v tetap dan f dijadikan 2 kali semula, maka kuat arus yang mengalir 4. Sebuah kapasitor dialiri arus bolak balik dengan frekuensi f, tegangan v dan mengalirkan arus i. Untuk lebih lengkapnya di website kami. Pengelolahan arus bolak balik dimulai pada tahun 1882. Resonansi pada rangkaian arus bolak balik rangkaian rlc pada gambar 7. Keadaan ini dapat terjadi pada frekuensi tertentu. Pada rangkaian arus bolak balik baik itu tegangan atau kuat arus, maka akan selalu berubah ubah secara periodik. Arus listrik bolak balik dalam bahasa inggris disebut alternatif current (ac), arus ini dihasilkan oleh generator.

Nilai maksimum sumber tegangan 200ö2 volt dan frekuensi angular 320 rad/s.

Arus bolak balik adalah sebuah pergerakan muatan listrik dengan media yang akan mengubah berubahnya arah secara berkala atau bertahap. Siapakah ilmuwan yang berhasil menemukan jenis listrik ini? Sebuah generator menghasilkan tegangan sinusoidal dengan. Untuk membangkitkan gaya gerak listrik sehingga menghasilkan arus dan tegangan yang maksimal. Fasor merupakan suatu vektor yang berotasi berlawanan arah jarum jam dengan kecepatan persamaan di atas menunjukkan bahwa impedansi dipengaruhi oleh frekuensi sudut (ω) arus bolak balik, semakin besar nilai ω, semakin besar xl. Untuk lebih lengkapnya di website kami. Rangkaian ini dapat dilihat pada layar. Satu siklus adalah satu pembalikan lengkap arus dari nol meskipun positif ke negatif dan kembali ke titik nol. Keadaan ini dapat terjadi pada frekuensi tertentu. Sebuah penghantar pada rangkaian arus bolak balik mempunyai hambatan, reaktansi induktif dan juga getaran listrik merupakan arus bolak balik dengan frekuensi tinggi. Generator atau dinamo merupakan alat yang mampu mengubah sumber energi gerak menjadi energi listrik dengan memanfaatkan prinsip induksi elektromagnetik. Sebuah kapasitor dialiri arus bolak balik dengan frekuensi f, tegangan v dan mengalirkan arus i. Pada rangkaian arus bolak balik baik itu tegangan atau kuat arus, maka akan selalu berubah ubah secara periodik.

Posting Komentar untuk "Frekuensi Angular Pada Arus Bolak-Balik / Tp Modul 3 - Rangkaian ini dapat dilihat pada layar."